Официальное опубликование правовых актов
ОФИЦИАЛЬНОЕ ОПУБЛИКОВАНИЕ
Постановление Правительства Алтайского края от 18.08.2017 № 306
"О внесении изменений в постановление Администрации края от 20.12.2013 № 670"
Номер опубликования: 2200201708230004
Дата опубликования: 23.08.2017
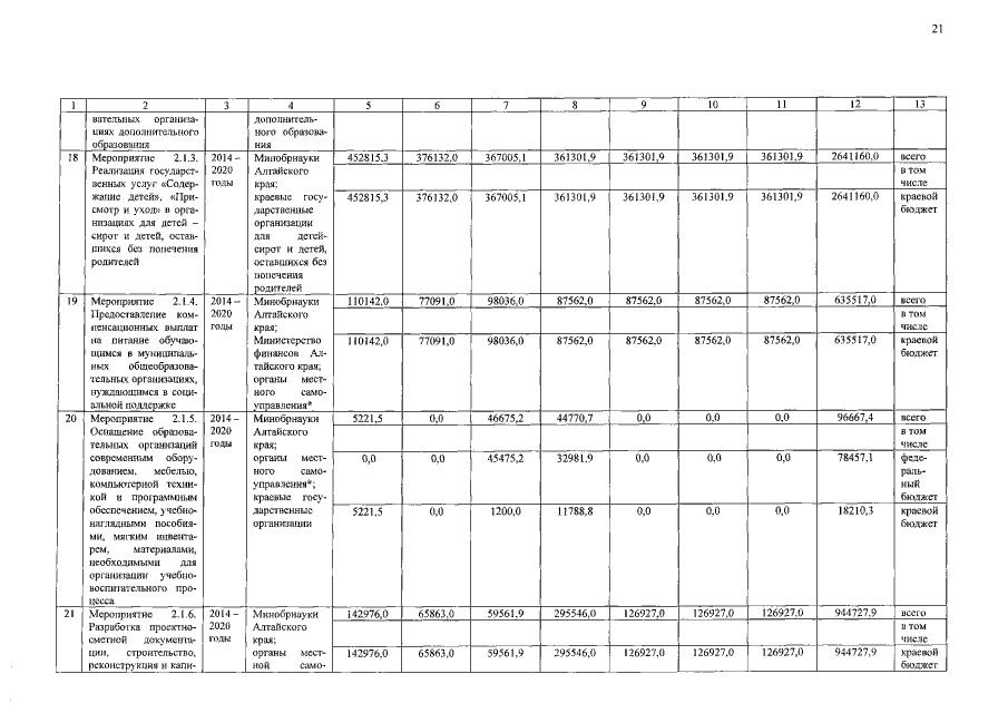
Страница №21 из 42:
Увеличить