Официальное опубликование правовых актов
ОФИЦИАЛЬНОЕ ОПУБЛИКОВАНИЕ
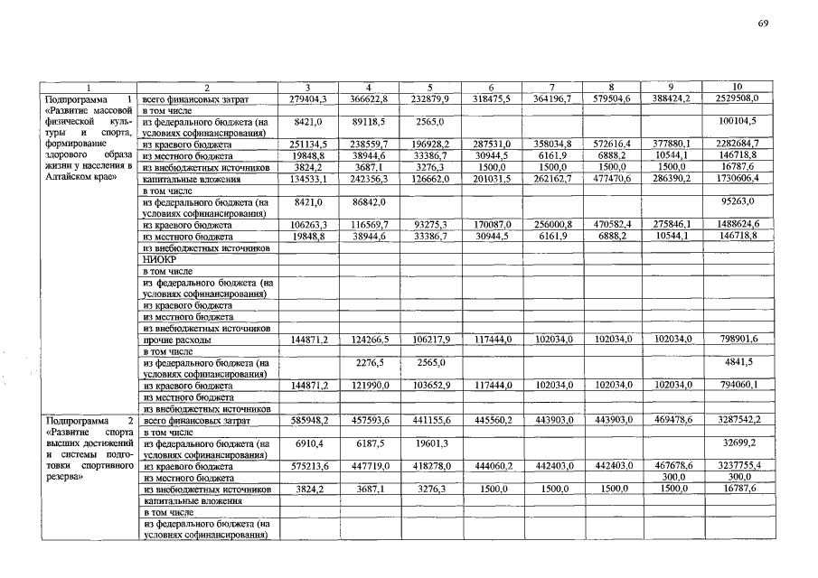
Постановление Правительства Алтайского края от 22.04.2017 № 130
"О внесении изменений в постановление Администрации Алтайского края от 14.03.2014 № 112"
Номер опубликования: 2200201704280002
Дата опубликования: 28.04.2017
Страница №69 из 103:
Увеличить