Официальное опубликование правовых актов
ОФИЦИАЛЬНОЕ ОПУБЛИКОВАНИЕ
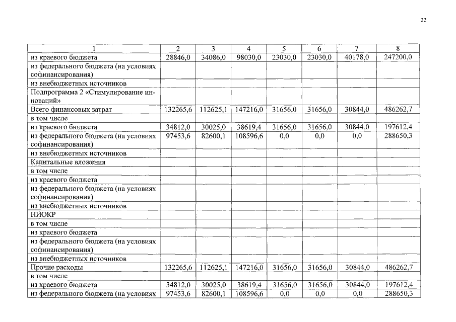
Постановление Правительства Алтайского края от 15.03.2017 № 77
"О внесении изменений в постановление Администрации края от 13.10.2014 № 467"
Номер опубликования: 2200201703160001
Дата опубликования: 16.03.2017
Страница №22 из 25:
Увеличить