Официальное опубликование правовых актов
ОФИЦИАЛЬНОЕ ОПУБЛИКОВАНИЕ
Постановление Администрации Алтайского края от 01.12.2016 № 412
"О внесении изменений в постановление Администрации края от 26.03.2013 № 178"
Номер опубликования: 2200201612070002
Дата опубликования: 07.12.2016
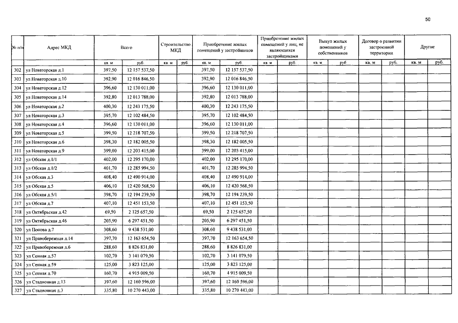
Страница №50 из 65:
Увеличить