Официальное опубликование правовых актов
ОФИЦИАЛЬНОЕ ОПУБЛИКОВАНИЕ
Указ Губернатора Алтайского края от 22.08.2016 № 96
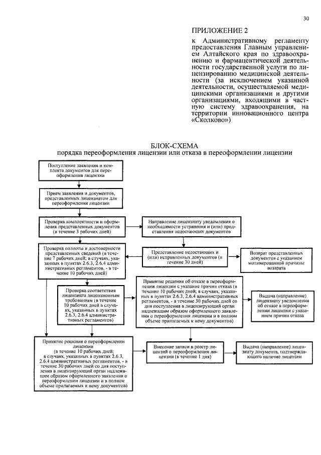
"Об утверждении административных регламентов предоставления Главным управлением Алтайского края по здравоохранению и фармацевтической деятельности государственных услуг по лицензированию медицинской деятельности (за исключением указанной деятельности, осуществляемой медицинскими организациями и другими организациями, входящими в частную систему здравоохранения, на территории инновационного центра "Сколково") и деятельности по обороту наркотических средств, психотропных веществ и их прекурсоров, культивированию наркосодержащих растений"
Номер опубликования: 2200201608250003
Дата опубликования: 25.08.2016
Страница №30 из 63:
Увеличить