Официальное опубликование правовых актов
ОФИЦИАЛЬНОЕ ОПУБЛИКОВАНИЕ
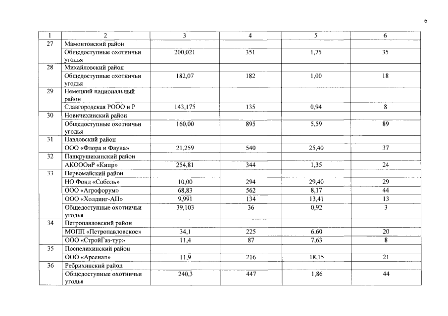
Указ Губернатора Алтайского края от 06.07.2016 № 72 "Об утверждении лимитов и квот добычи барсука и бурого медведя в Алтайском крае на период с 1 августа 2016 года до 1 августа 2017 года"
Номер опубликования: 2200201607120003
Дата опубликования: 12.07.2016
Страница №6 из 16:
Увеличить