Официальное опубликование правовых актов
ОФИЦИАЛЬНОЕ ОПУБЛИКОВАНИЕ
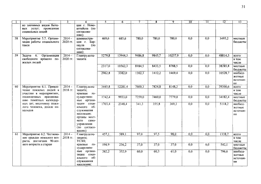
Постановление Администрации Алтайского края от 17.05.2016 № 166
"О внесении изменений в постановление Администрации края от 14.01.2014 № 7"
Номер опубликования: 2200201605190002
Дата опубликования: 19.05.2016
Страница №31 из 46:
Увеличить