Официальное опубликование правовых актов
ОФИЦИАЛЬНОЕ ОПУБЛИКОВАНИЕ
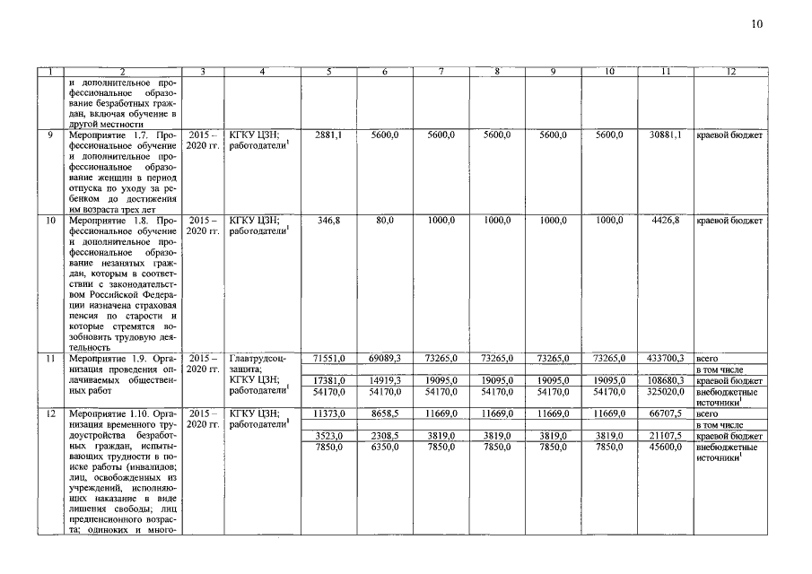
Постановление Администрации Алтайского края от 18.02.2016 № 49
"О внесении изменений в постановление Администрации края от 22.10.2014 № 492"
Номер опубликования: 2200201602200002
Дата опубликования: 20.02.2016
Страница №10 из 20:
Увеличить