Официальное опубликование правовых актов
ОФИЦИАЛЬНОЕ ОПУБЛИКОВАНИЕ
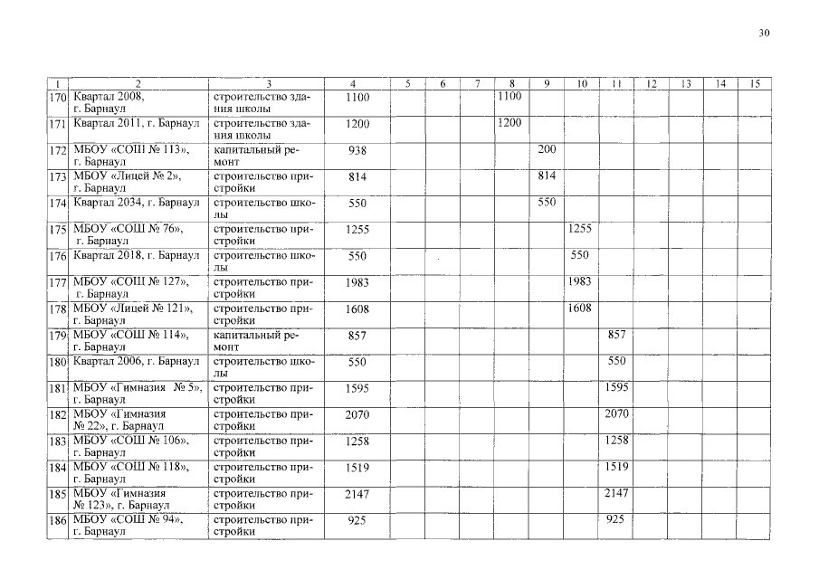
Постановление Администрации Алтайского края от 11.01.2016 № 7
"Об утверждении государственной программы Алтайского края "Создание новых мест в общеобразовательных организациях в соответствии с прогнозируемой потребностью и современными условиями обучения в Алтайском крае" на 2016 - 2025 годы"
Номер опубликования: 2200201601190002
Дата опубликования: 19.01.2016
Страница №30 из 39:
Увеличить