Официальное опубликование правовых актов
ОФИЦИАЛЬНОЕ ОПУБЛИКОВАНИЕ
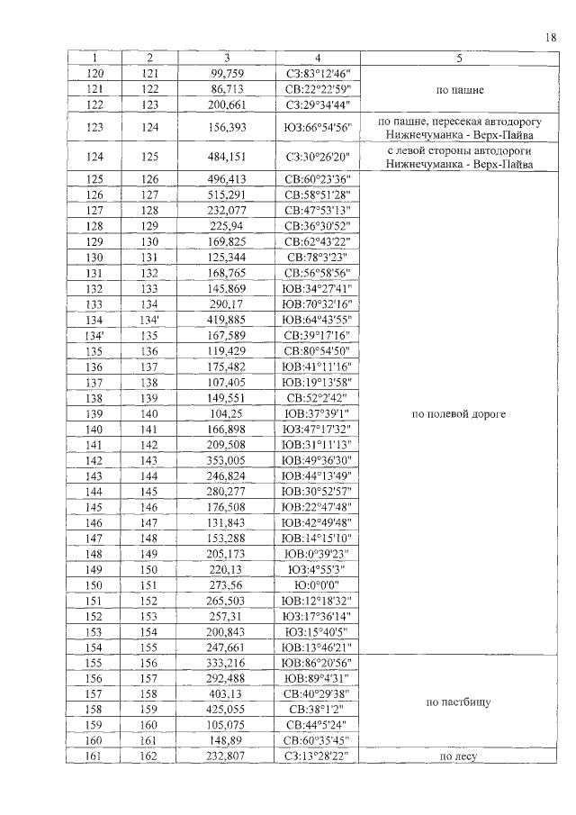
Закон Алтайского края от 02.09.2015 № 77-ЗС
"О внесении изменений в закон Алтайского края "О статусе и границах муниципальных и административно-территориальных образований Баевского района Алтайского края"
Номер опубликования: 2200201509040008
Дата опубликования: 04.09.2015
Страница №18 из 24:
Увеличить