Официальное опубликование правовых актов
ОФИЦИАЛЬНОЕ ОПУБЛИКОВАНИЕ
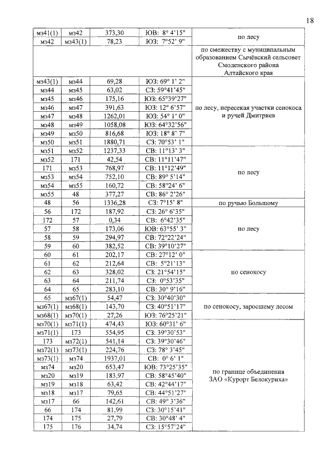
Закон Алтайского края от 03.06.2015 № 49-ЗС
"О внесении изменений в отдельные законы Алтайского края о статусе и границах муниципальных и административно-территориальных образований"
Номер опубликования: 2200201506040005
Дата опубликования: 04.06.2015
Страница №18 из 36:
Увеличить