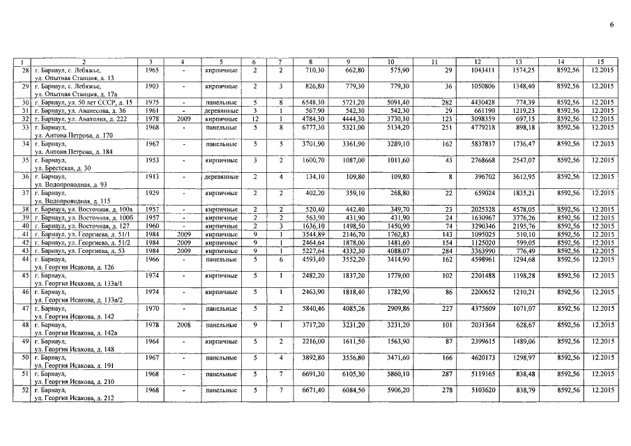
Постановление Администрации Алтайского края от 22.05.2015 № 198
"Об утверждении краткосрочного плана реализации в 2015 году краевой программы "Капитальный ремонт общего имущества в многоквартирных домах, расположенных на территории Алтайского края" на 2014-2043 годы"
"Об утверждении краткосрочного плана реализации в 2015 году краевой программы "Капитальный ремонт общего имущества в многоквартирных домах, расположенных на территории Алтайского края" на 2014-2043 годы"
Номер опубликования: 2200201505260001
Дата опубликования:
26.05.2015
