Официальное опубликование правовых актов
ОФИЦИАЛЬНОЕ ОПУБЛИКОВАНИЕ
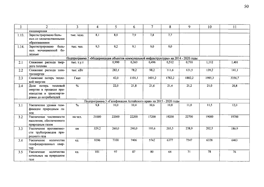
Постановление Администрации Алтайского края от 05.11.2014 № 508
"Об утверждении государственной программы Алтайского края "Обеспечение населения Алтайского края жилищно-коммунальными услугами" на 2014 - 2020 годы"
Номер опубликования: 2200201411100003
Дата опубликования: 10.11.2014
Страница №50 из 153:
Увеличить