Официальное опубликование правовых актов
ОФИЦИАЛЬНОЕ ОПУБЛИКОВАНИЕ
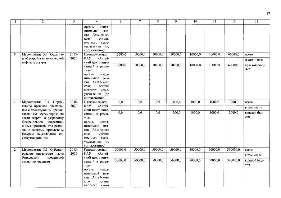
Постановление Администрации Алтайского края от 13.10.2014 № 467
"Об утверждении государственной программы Алтайского края "Экономическое развитие и инновационная экономика" на 2015-2020 годы"
Номер опубликования: 2200201410220001
Дата опубликования: 22.10.2014
Страница №27 из 106:
Увеличить