Официальное опубликование правовых актов
ОФИЦИАЛЬНОЕ ОПУБЛИКОВАНИЕ
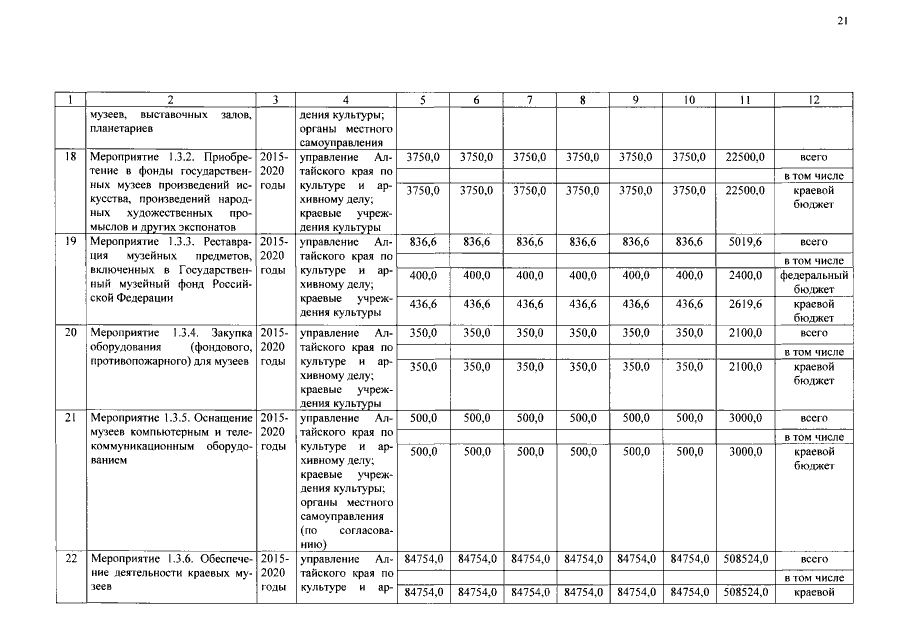
Постановление Администрации Алтайского края от 25.09.2014 № 435
"Об утверждении государственной программы Алтайского края "Развитие культуры Алтайского края" на 2015 – 2020 годы"
Номер опубликования: 2200201409290003
Дата опубликования: 29.09.2014
Страница №21 из 56:
Увеличить