Официальное опубликование правовых актов
ОФИЦИАЛЬНОЕ ОПУБЛИКОВАНИЕ
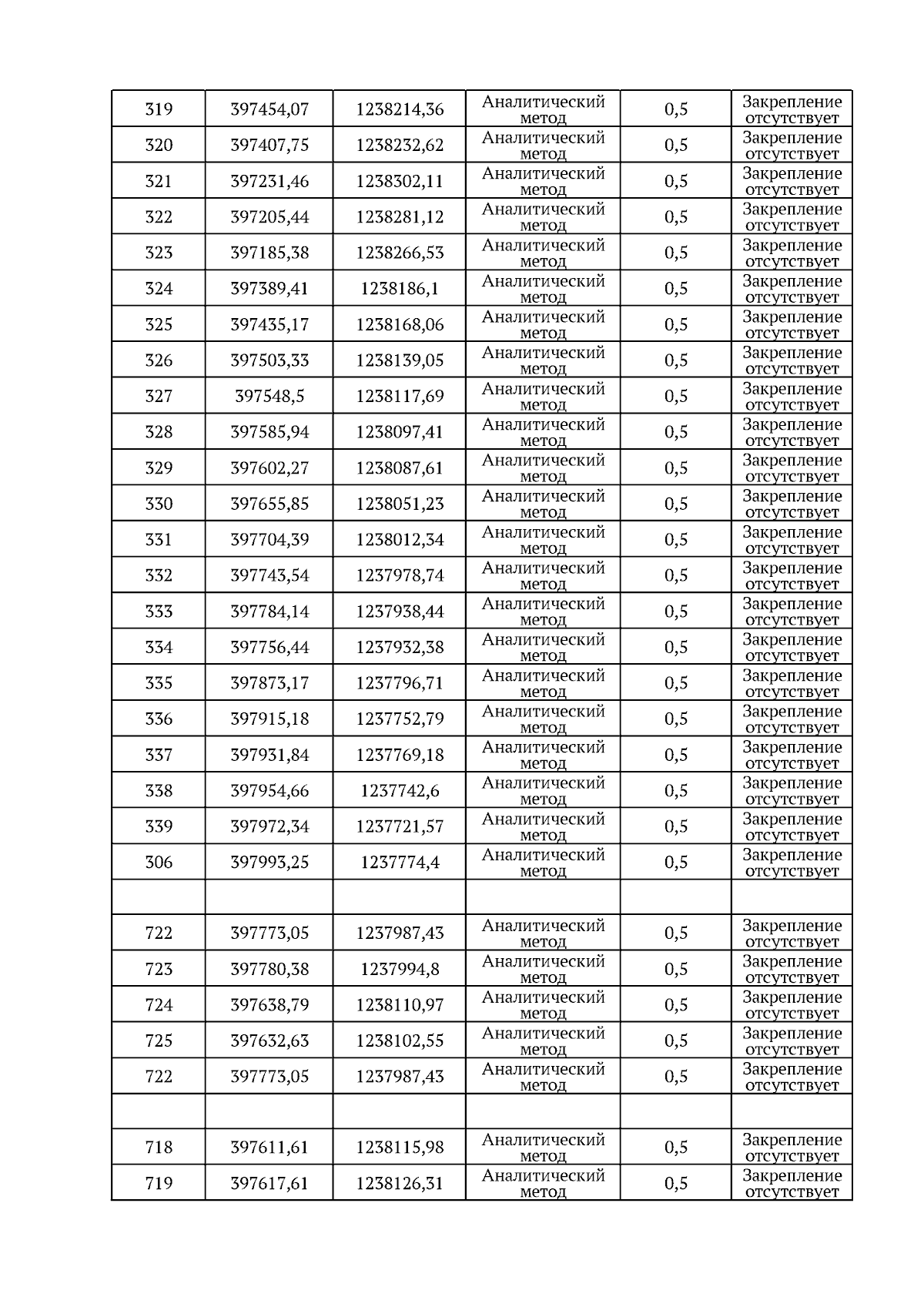
Приказ Министерства транспорта и дорожного хозяйства Чувашской Республики от 29.01.2026 № 01-03/59
"Об установлении границ придорожных полос автомобильных дорог общего пользования регионального и межмуниципального значения в Чувашской Республике"
(Зарегистрирован 18.02.2026 № 11004)
Номер опубликования: 2101202602200008
Дата опубликования: 20.02.2026
Страница №95 из 237:
Увеличить