Официальное опубликование правовых актов
ОФИЦИАЛЬНОЕ ОПУБЛИКОВАНИЕ
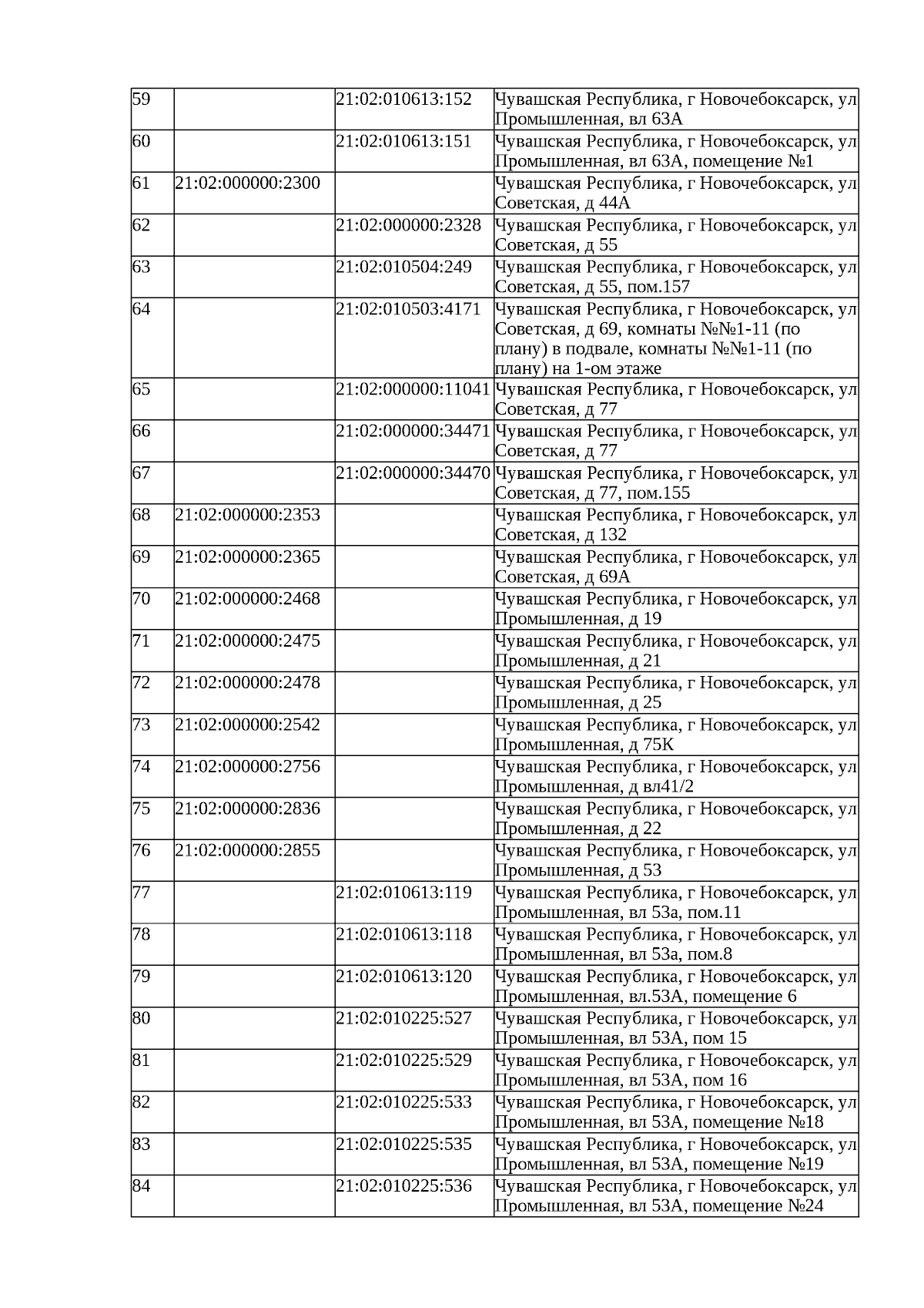
Приказ Министерства экономического развития и имущественных отношений Чувашской Республики от 17.12.2025 № 309
"Об определении перечня объектов недвижимого имущества, в отношении которых в 2026 году налоговая база определяется как кадастровая стоимость"
(Зарегистрирован 24.12.2025 № 10897)
Номер опубликования: 2101202512290004
Дата опубликования: 29.12.2025
Страница №184 из 328:
Увеличить