Официальное опубликование правовых актов
ОФИЦИАЛЬНОЕ ОПУБЛИКОВАНИЕ
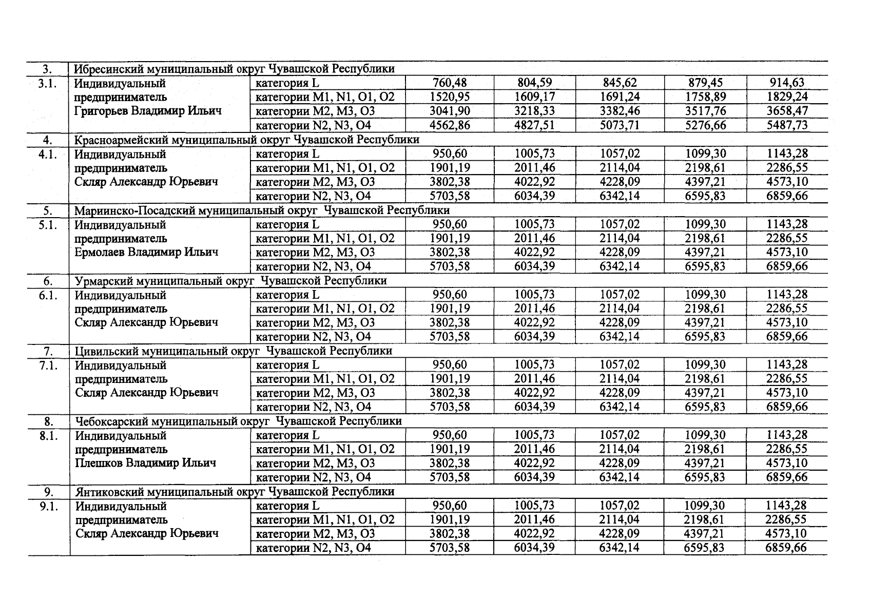
Постановление Государственной службы Чувашской Республики по конкурентной политике и тарифам от 27.11.2025 № 62-18/п
"О внесении изменений в постановление Государственной службы Чувашской Республики по конкурентной политике и тарифам от 23 января 2024 г. № 4-1/п"
(Зарегистрирован 05.12.2025 № 10792)
Номер опубликования: 2101202512090004
Дата опубликования: 09.12.2025
Страница №3 из 6:
Увеличить