Официальное опубликование правовых актов
ОФИЦИАЛЬНОЕ ОПУБЛИКОВАНИЕ
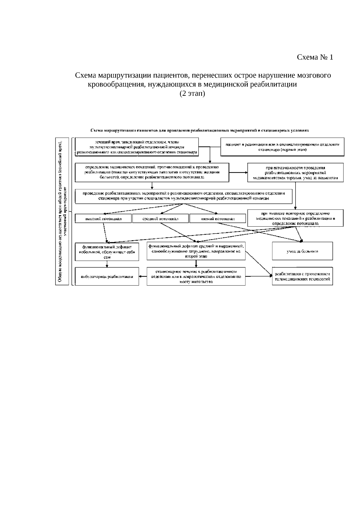
Приказ Министерства здравоохранения Чувашской Республики от 31.10.2025 № 1782
"Об оказании медицинской помощи пациентам с сердечно-сосудистыми заболеваниями в Чувашской Республике"
(Зарегистрирован 25.11.2025 № 10769)
Номер опубликования: 2101202511280007
Дата опубликования: 28.11.2025
Страница №70 из 139:
Увеличить