Официальное опубликование правовых актов
ОФИЦИАЛЬНОЕ ОПУБЛИКОВАНИЕ
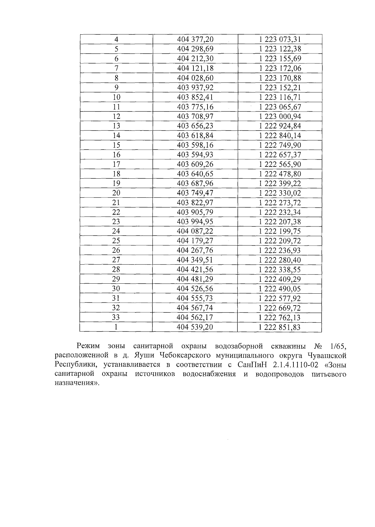
Приказ Министерства природных ресурсов и экологии Чувашской Республики от 10.10.2025 № 734
"Об установлении зоны санитарной охраны водозаборной скважины № 1/65, расположенной в д. Яуши Чебоксарского муниципального округа Чувашской Республики"
(Зарегистрирован 20.10.2025 № 10712)
Номер опубликования: 2101202510220002
Дата опубликования: 22.10.2025
Страница №4 из 4:
Увеличить