Приказ Министерства природных ресурсов и экологии Чувашской Республики от 12.09.2025 № 687
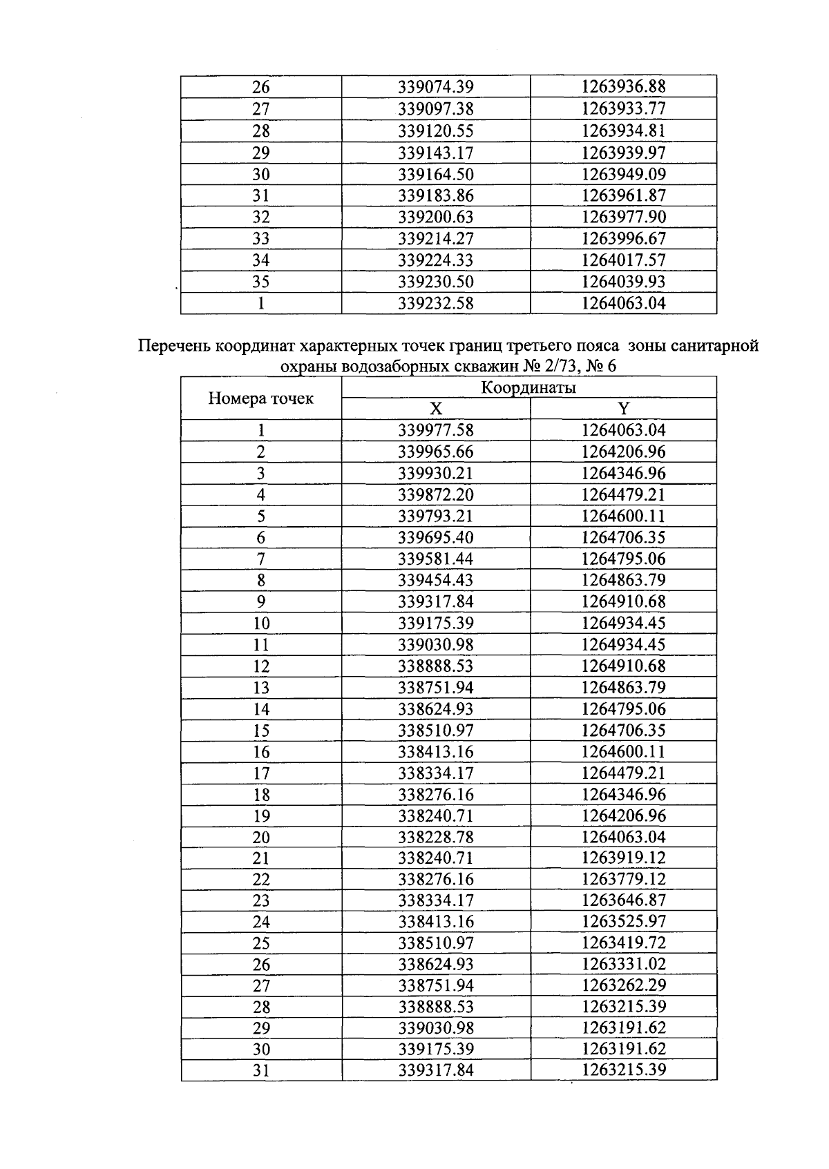
"Об установлении зоны санитарной охраны водозаборных скважин № 2/73, № 6, расположенных на пр. Ленина, с. Янтиково Янтиковского муниципального округа Чувашской Республики"
(Зарегистрирован 23.09.2025 № 10653)
"Об установлении зоны санитарной охраны водозаборных скважин № 2/73, № 6, расположенных на пр. Ленина, с. Янтиково Янтиковского муниципального округа Чувашской Республики"
(Зарегистрирован 23.09.2025 № 10653)
Номер опубликования: 2101202509260007
Дата опубликования:
26.09.2025
