Официальное опубликование правовых актов
ОФИЦИАЛЬНОЕ ОПУБЛИКОВАНИЕ
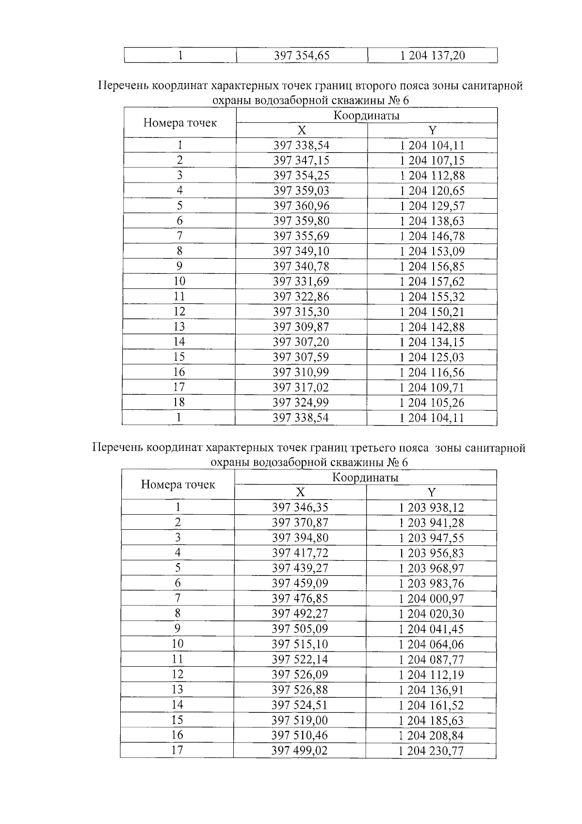
Приказ Министерства природных ресурсов и экологии Чувашской Республики от 15.07.2025 № 555
"Об установлении зоны санитарной охраны водозаборной скважины № 6, расположенной в д. Синьял-Оринино Моргаушского муниципального округа Чувашской Республики"
(Зарегистрирован 08.08.2025 № 10553)
Номер опубликования: 2101202508130001
Дата опубликования: 13.08.2025
Страница №3 из 4:
Увеличить