Официальное опубликование правовых актов
ОФИЦИАЛЬНОЕ ОПУБЛИКОВАНИЕ
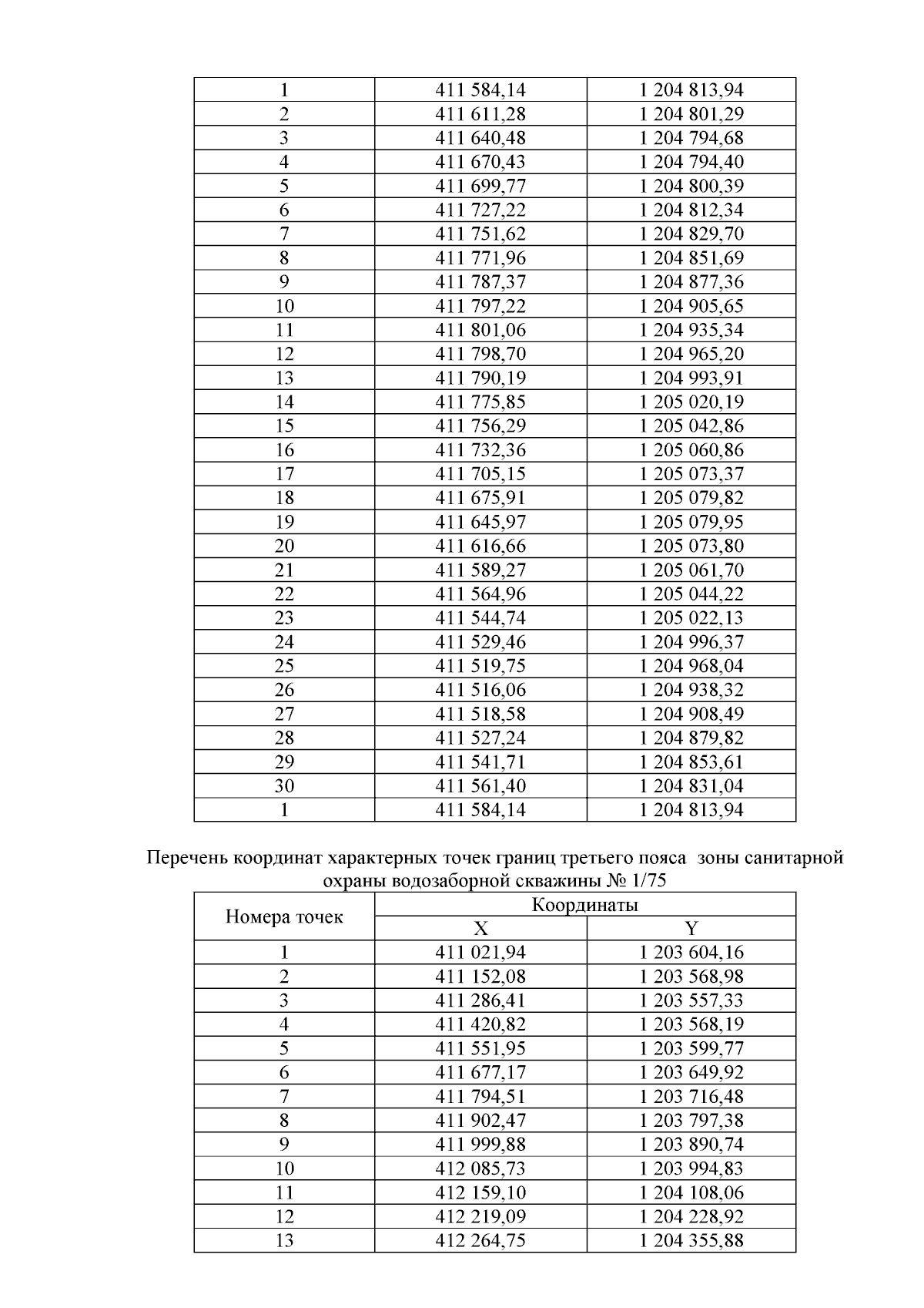
Приказ Министерства природных ресурсов и экологии Чувашской Республики от 08.04.2025 № 315
"Об установлении зоны санитарной охраны водозаборной скважины № 1/75, расположенной в д. Тябакасы Моргаушского муниципального округа Чувашской Республики"
(Зарегистрирован 30.04.2025 № 10240)
Номер опубликования: 2101202505050005
Дата опубликования: 05.05.2025
Страница №3 из 4:
Увеличить