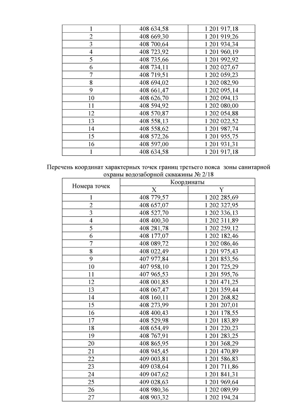
Приказ Министерства природных ресурсов и экологии Чувашской Республики от 08.04.2025 № 311
"Об установлении зон санитарной охраны водозаборных скважин № 1/67 и № 2/18, расположенных в д. Апчары Моргаушского муниципального округа Чувашской Республики"
(Зарегистрирован 30.04.2025 № 10236)
"Об установлении зон санитарной охраны водозаборных скважин № 1/67 и № 2/18, расположенных в д. Апчары Моргаушского муниципального округа Чувашской Республики"
(Зарегистрирован 30.04.2025 № 10236)
Номер опубликования: 2101202504300005
Дата опубликования:
30.04.2025
