Официальное опубликование правовых актов
ОФИЦИАЛЬНОЕ ОПУБЛИКОВАНИЕ
Приказ Министерства природных ресурсов и экологии Чувашской Республики от 04.04.2025 № 224
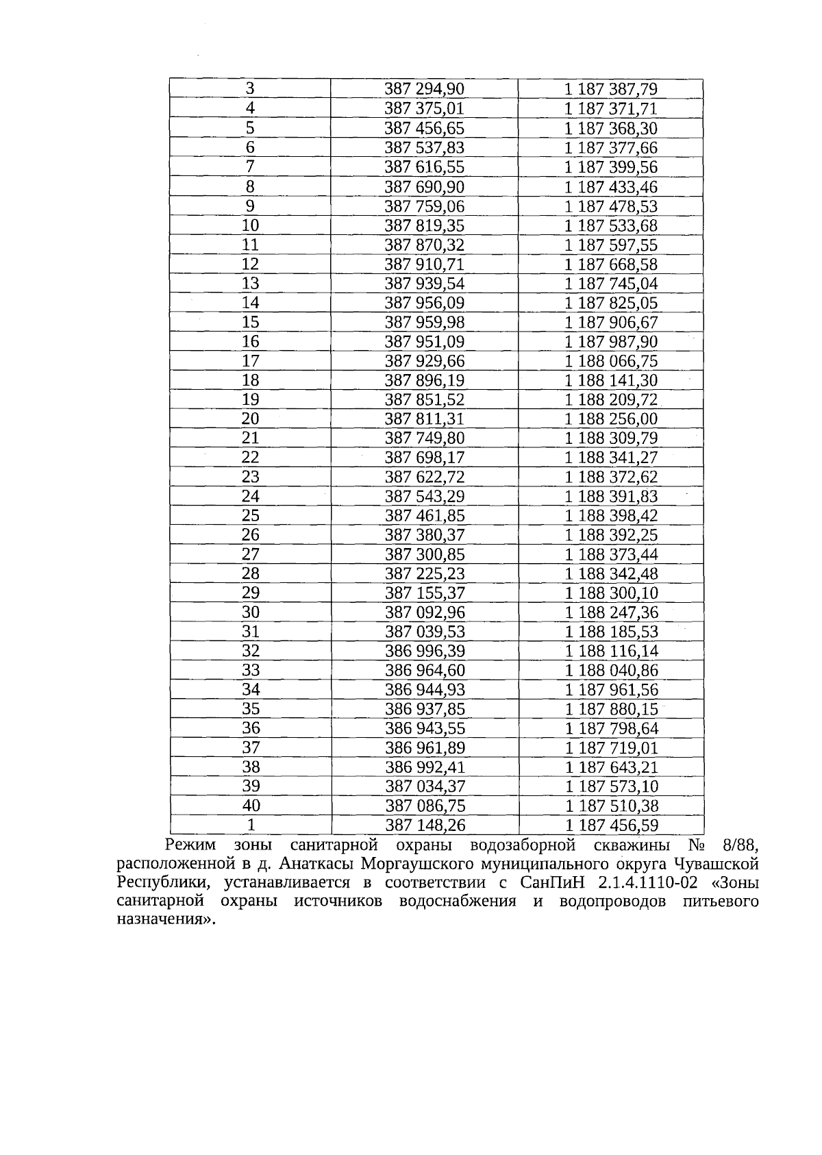
"Об установлении зоны санитарной охраны водозаборной скважины № 8/88, расположенной в д. Анаткасы Моргаушского муниципального округа Чувашской Республики"
(Зарегистрирован 25.04.2025 № 10222)
Номер опубликования: 2101202504290006
Дата опубликования: 29.04.2025
Страница №4 из 4:
Увеличить