Официальное опубликование правовых актов
ОФИЦИАЛЬНОЕ ОПУБЛИКОВАНИЕ
Приказ Министерства природных ресурсов и экологии Чувашской Республики от 19.03.2025 № 158
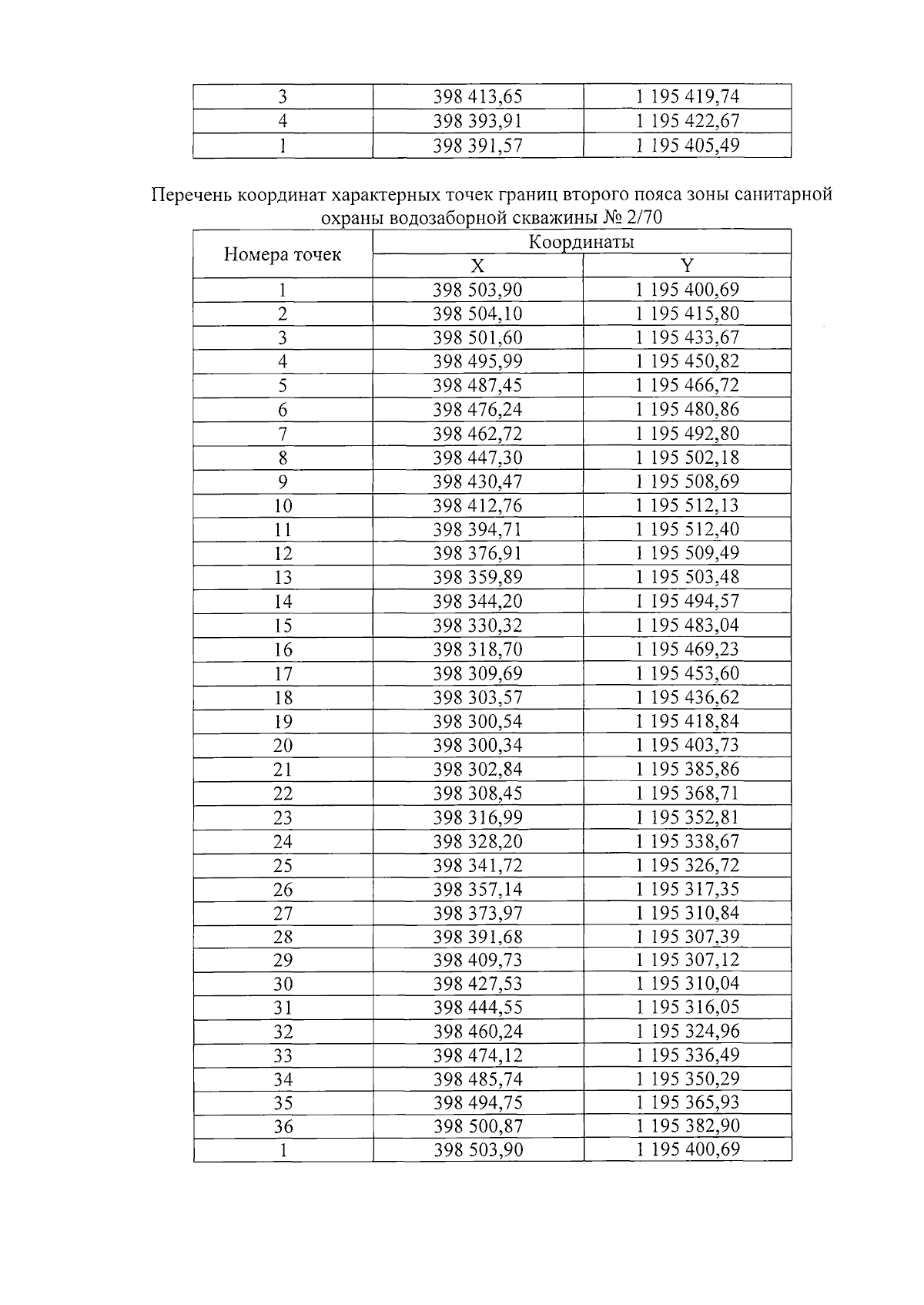
"Об установлении зон санитарной охраны водозаборных скважин № 2/70 и № 10/88, расположенных в д. Юнгапоси Моргаушского муниципального округа Чувашской Республики"
(Зарегистрирован 09.04.2025 № 10187)
Номер опубликования: 2101202504140007
Дата опубликования: 14.04.2025
Страница №3 из 7:
Увеличить