Официальное опубликование правовых актов
ОФИЦИАЛЬНОЕ ОПУБЛИКОВАНИЕ
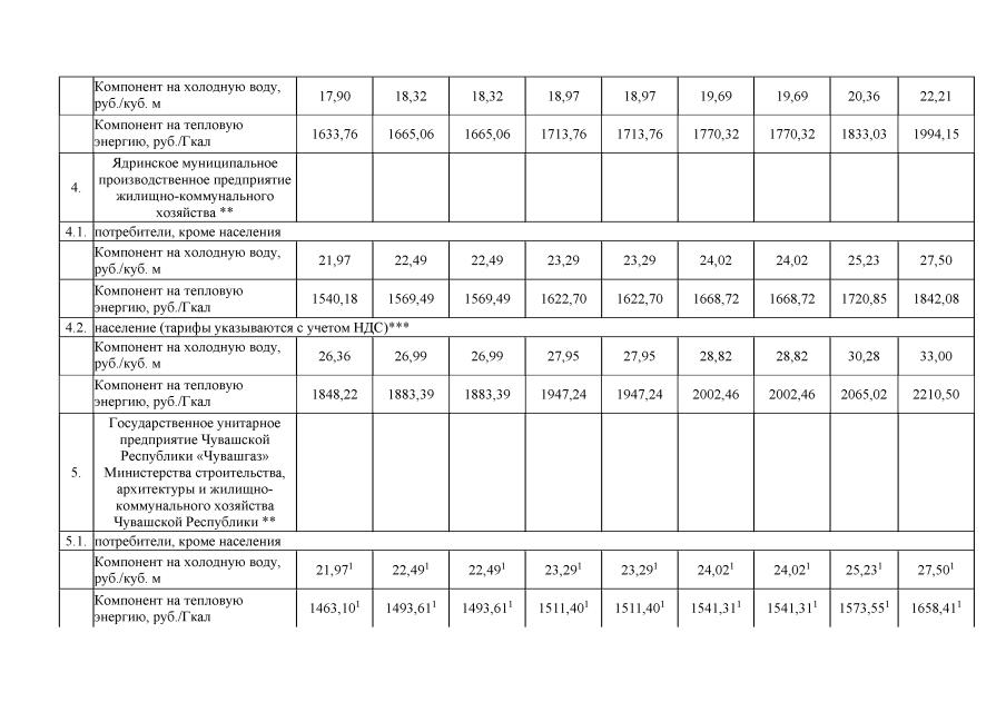
Постановление Государственной службы Чувашской Республики по конкурентной политике и тарифам от 30.11.2022 № 83-19/гв
"О внесении изменения в постановление Государственной службы Чувашской Республики по конкурентной политике и тарифам от 13 декабря 2018 г. № 129-30-32/гв"
(Зарегистрирован 01.12.2022 № 8201)
Номер опубликования: 2101202212010006
Дата опубликования: 01.12.2022
Страница №5 из 8:
Увеличить