Официальное опубликование правовых актов
ОФИЦИАЛЬНОЕ ОПУБЛИКОВАНИЕ
Приказ Министерства природных ресурсов и экологии Чувашской Республики от 08.11.2022 № 668
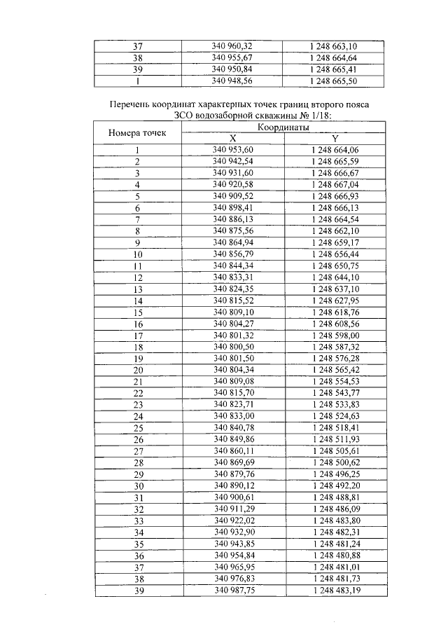
"Об установлении зон санитарной охраны водозаборных скважин № 1/18, 2/19 и 3/91, расположенных на территории АО "Промтрактор-Вагон" в северо-восточной части г. Канаш Канашского района Чувашской Республики"
(Зарегистрирован 29.11.2022 № 8187)
Номер опубликования: 2101202211290012
Дата опубликования: 29.11.2022
Страница №4 из 13:
Увеличить