Официальное опубликование правовых актов
ОФИЦИАЛЬНОЕ ОПУБЛИКОВАНИЕ
Приказ Министерства культуры, по делам национальностей и архивного дела Чувашской Республики от 17.10.2022 № 01-05/492
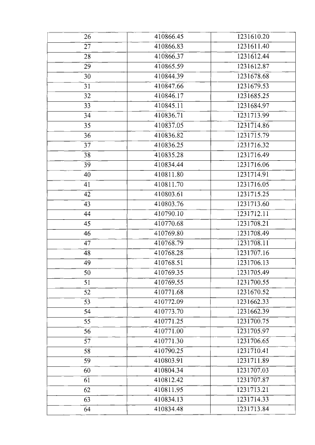
"Об утверждении границ и режима использования территории объекта культурного наследия (памятника истории и культуры) федерального значения "Остатки стены", вт. пол. XVII в., расположенного по адресу: Чувашская Республика, г. Чебоксары, ул. Константина Иванова, д. 1, входящего в состав объекта культурного наследия федерального значения "Троицкий монастырь", XVII-XVIII вв."
(Зарегистрирован 07.11.2022 № 8108)
Номер опубликования: 2101202211080006
Дата опубликования: 08.11.2022
Страница №5 из 8:
Увеличить