Официальное опубликование правовых актов
ОФИЦИАЛЬНОЕ ОПУБЛИКОВАНИЕ
Приказ Министерства природных ресурсов и экологии Чувашской Республики от 21.06.2022 № 383
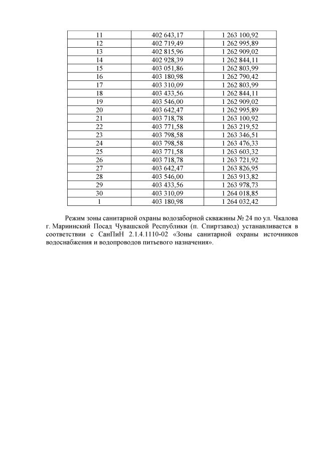
"Об установлении зоны санитарной охраны водозаборной скважины № 24 по ул. Чкалова г. Мариинский Посад Чувашской Республики (п. Спиртзавод)"
(Зарегистрирован 13.07.2022 № 7856)
Номер опубликования: 2101202207150004
Дата опубликования: 15.07.2022
Страница №4 из 4:
Увеличить