Официальное опубликование правовых актов
ОФИЦИАЛЬНОЕ ОПУБЛИКОВАНИЕ
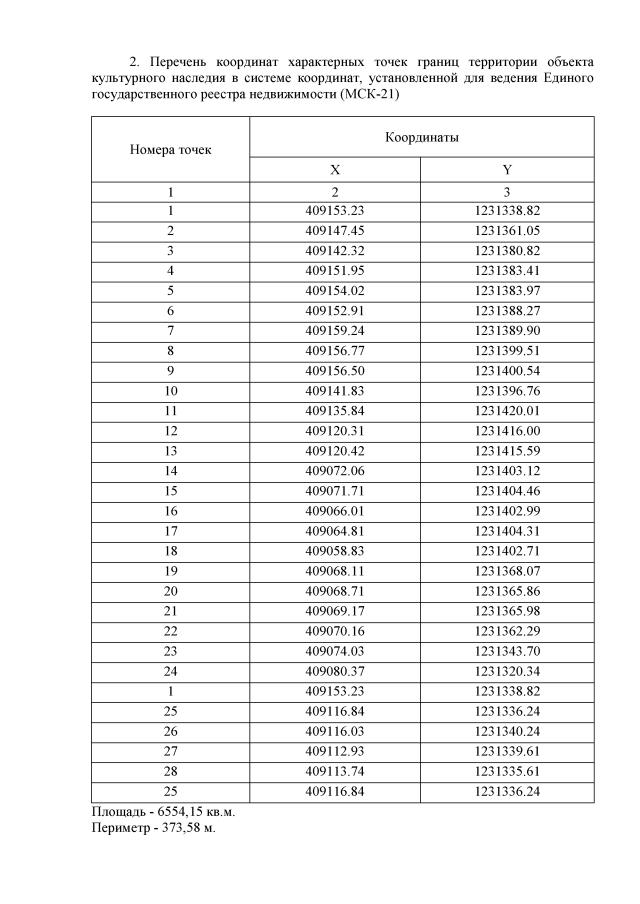
Приказ Министерства культуры, по делам национальностей и архивного дела Чувашской Республики от 19.04.2022 № 01-05/216
"Об утверждении границ и режима использования территории объекта культурного наследия (памятника истории и культуры) регионального (республиканского) значения "Здание Министерства безопасности Чувашской Республики, 1950-е годы", расположенного по адресу: Чувашская Республика, г. Чебоксары, ул. Карла Маркса, д. 43"
(Зарегистрирован 17.05.2022 № 7677)
Номер опубликования: 2101202205180006
Дата опубликования: 18.05.2022
Страница №3 из 5:
Увеличить