Официальное опубликование правовых актов
ОФИЦИАЛЬНОЕ ОПУБЛИКОВАНИЕ
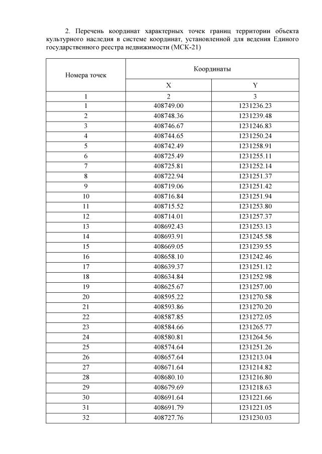
Приказ Министерства культуры, по делам национальностей и архивного дела Чувашской Республики от 19.04.2022 № 01-05/213
"Об утверждении границ и режима использования территории объекта культурного наследия (памятника истории и культуры) регионального (республиканского) значения "Дом жилой, 1950-е годы", расположенного по адресу: Чувашская Республика, г. Чебоксары, проспект Ленина, д. 1"
(Зарегистрирован 17.05.2022 № 7674)
Номер опубликования: 2101202205180004
Дата опубликования: 18.05.2022
Страница №3 из 6:
Увеличить