Официальное опубликование правовых актов
ОФИЦИАЛЬНОЕ ОПУБЛИКОВАНИЕ
Приказ Министерства природных ресурсов и экологии Чувашской Республики от 13.04.2022 № 232
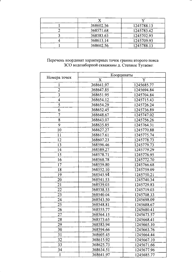
"Об установлении зон санитарной охраны (ЗСО) подземных источников водоснабжения, расположенных на территории Первостепановского сельского поселения Цивильского района Чувашской Республики"
(Зарегистрирован 11.05.2022 № 7659)
Номер опубликования: 2101202205120006
Дата опубликования: 12.05.2022
Страница №8 из 24:
Увеличить