Официальное опубликование правовых актов
ОФИЦИАЛЬНОЕ ОПУБЛИКОВАНИЕ
Приказ Министерства культуры, по делам национальностей и архивного дела Чувашской Республики от 01.12.2021 № 01-05/619
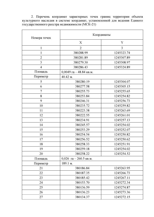
"Об утверждении границ и режима использования территории объекта культурного наследия (памятника истории и культуры) федерального значения "Тихвинский монастырь, XVIII в.: Ограда, XVIII в.", расположенного по адресу: Чувашская Республика, Цивильский район, г. Цивильск, ул. Пролетарская, д. 1"
(Зарегистрирован 23.12.2021 № 7398)
Номер опубликования: 2101202112240003
Дата опубликования: 24.12.2021
Страница №3 из 6:
Увеличить