Официальное опубликование правовых актов
ОФИЦИАЛЬНОЕ ОПУБЛИКОВАНИЕ
Приказ Министерства природных ресурсов и экологии Чувашской Республики от 12.07.2021 № 542
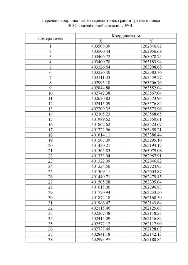
"Об установлении зон санитарной охраны двух водозаборных скважин ООО "Вител", расположенных в г. Мариинский Посад Мариинско-Посадского района Чувашской Республики"
(Зарегистрирован 03.08.2021 № 7080)
Номер опубликования: 2101202108050004
Дата опубликования: 05.08.2021
Страница №8 из 9:
Увеличить