Официальное опубликование правовых актов
ОФИЦИАЛЬНОЕ ОПУБЛИКОВАНИЕ
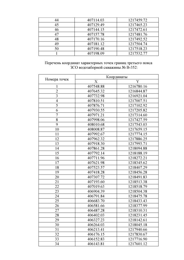
Приказ Министерства природных ресурсов и экологии Чувашской Республики от 11.06.2021 № 433
"Об установлении зоны санитарной охраны водозаборной скважины № В-352 ООО "Ключ здоровья", расположенной на территории Вурман-Сюктерского сельского поселения Чебоксарского района Чувашской Республики"
(Зарегистрирован 06.07.2021 № 7023)
Номер опубликования: 2101202107070006
Дата опубликования: 07.07.2021
Страница №4 из 5:
Увеличить