Официальное опубликование правовых актов
ОФИЦИАЛЬНОЕ ОПУБЛИКОВАНИЕ
Приказ Министерства культуры, по делам национальностей и архивного дела Чувашской Республики от 20.01.2021 № 01-05/75
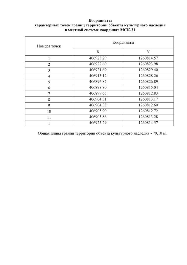
"Об утверждении границ и режима использования территории объекта культурного наследия (памятника истории и культуры) регионального (республиканского) значения "Каменный двухэтажный дом, II пол. XIX в.", расположенного по адресу: Чувашская Республика, Мариинско-Посадский район, г. Мариинский Посад, ул. Бондарева, д. 11"
(Зарегистрирован 15.02.2021 № 6795)
Номер опубликования: 2101202102180011
Дата опубликования: 18.02.2021
Страница №3 из 5:
Увеличить