Официальное опубликование правовых актов
ОФИЦИАЛЬНОЕ ОПУБЛИКОВАНИЕ
Приказ Министерства культуры, по делам национальностей и архивного дела Чувашской Республики от 23.11.2020 № 01-07/855
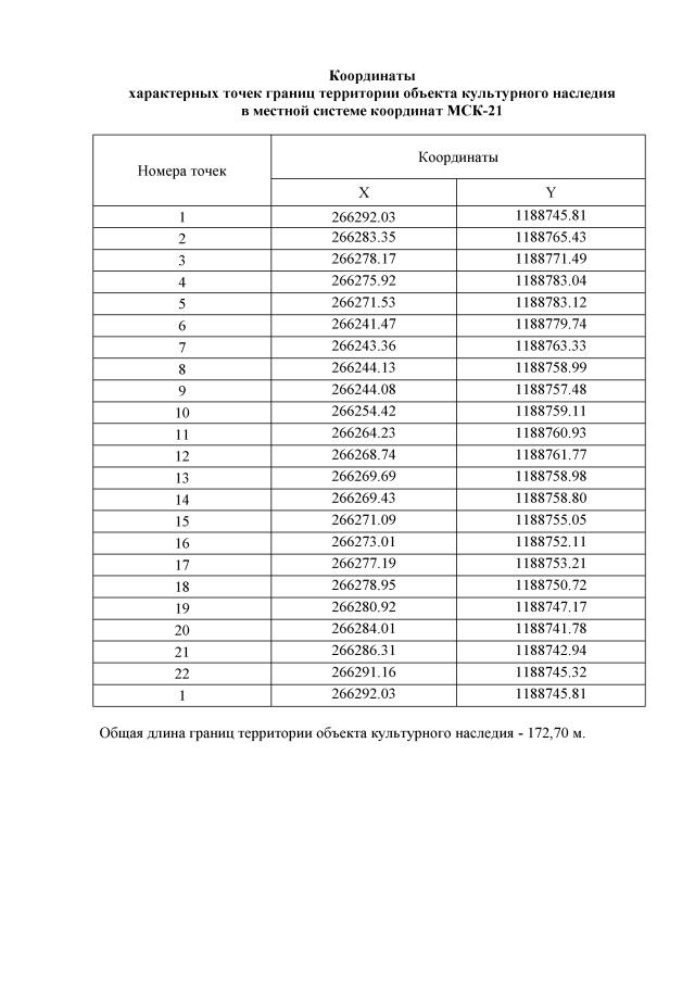
"Об утверждении границ и режима использования территории объекта культурного наследия (памятника истории и культуры) регионального (республиканского) значения "Каменный одноэтажный дом, конец XIX в.", расположенного по адресу: Чувашская Республика, г. Алатырь, ул. Комсомола, д. 22"
(Зарегистрирован 15.12.2020 № 6542)
Номер опубликования: 2101202012220024
Дата опубликования: 22.12.2020
Страница №3 из 5:
Увеличить