Официальное опубликование правовых актов
ОФИЦИАЛЬНОЕ ОПУБЛИКОВАНИЕ
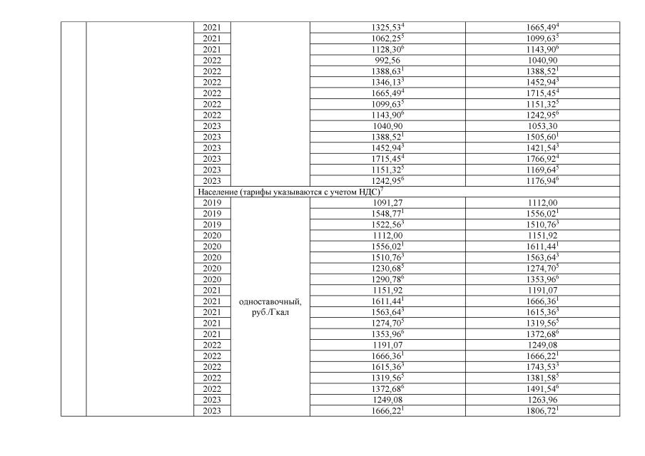
Постановление Государственной службы Чувашской Республики по конкурентной политике и тарифам от 15.12.2020 № 83-26/т
"О внесении изменений в постановление Государственной службы Чувашской Республики по конкурентной политике и тарифам от 14 декабря 2018 г. № 134-32/т"
(Зарегистрирован 16.12.2020 № 6572)
Номер опубликования: 2101202012170018
Дата опубликования: 17.12.2020
Страница №4 из 6:
Увеличить