Официальное опубликование правовых актов
ОФИЦИАЛЬНОЕ ОПУБЛИКОВАНИЕ
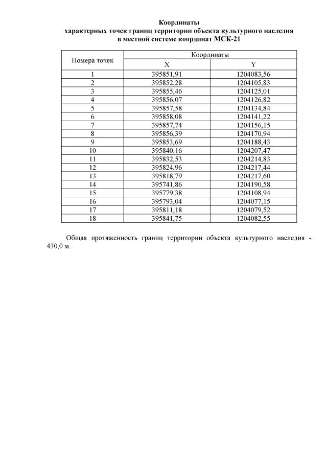
Приказ Министерства культуры, по делам национальностей и архивного дела Чувашской Республики от 28.12.2018 № 01-07/540
"О включении выявленных объектов культурного наследия в единый государственный реестр объектов культурного наследия (памятников истории и культуры) народов Российской Федерации в качестве объектов культурного наследия регионального (республиканского) значения и утверждении границ их территорий"
(Зарегистрирован 16.01.2019 № 5063)
Номер опубликования: 2101201901170003
Дата опубликования: 17.01.2019
Страница №6 из 24:
Увеличить