Официальное опубликование правовых актов
ОФИЦИАЛЬНОЕ ОПУБЛИКОВАНИЕ
Приказ Министерства культуры, по делам национальностей и архивного дела Чувашской Республики от 24.09.2018 № 01-07/388
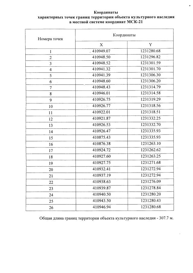
"Об утверждении границ территории объекта культурного наследия (памятника истории и культуры) регионального (республиканского) значения "Здание первой Чебоксарской городской больницы, 1930 г.", расположенного по адресу: Чувашская Республика, г. Чебоксары, улица Константина Иванова, д. 14"
(Зарегистрирован 08.10.2018 № 4745)
Номер опубликования: 2101201810090002
Дата опубликования: 09.10.2018
Страница №3 из 3:
Увеличить