Официальное опубликование правовых актов
ОФИЦИАЛЬНОЕ ОПУБЛИКОВАНИЕ
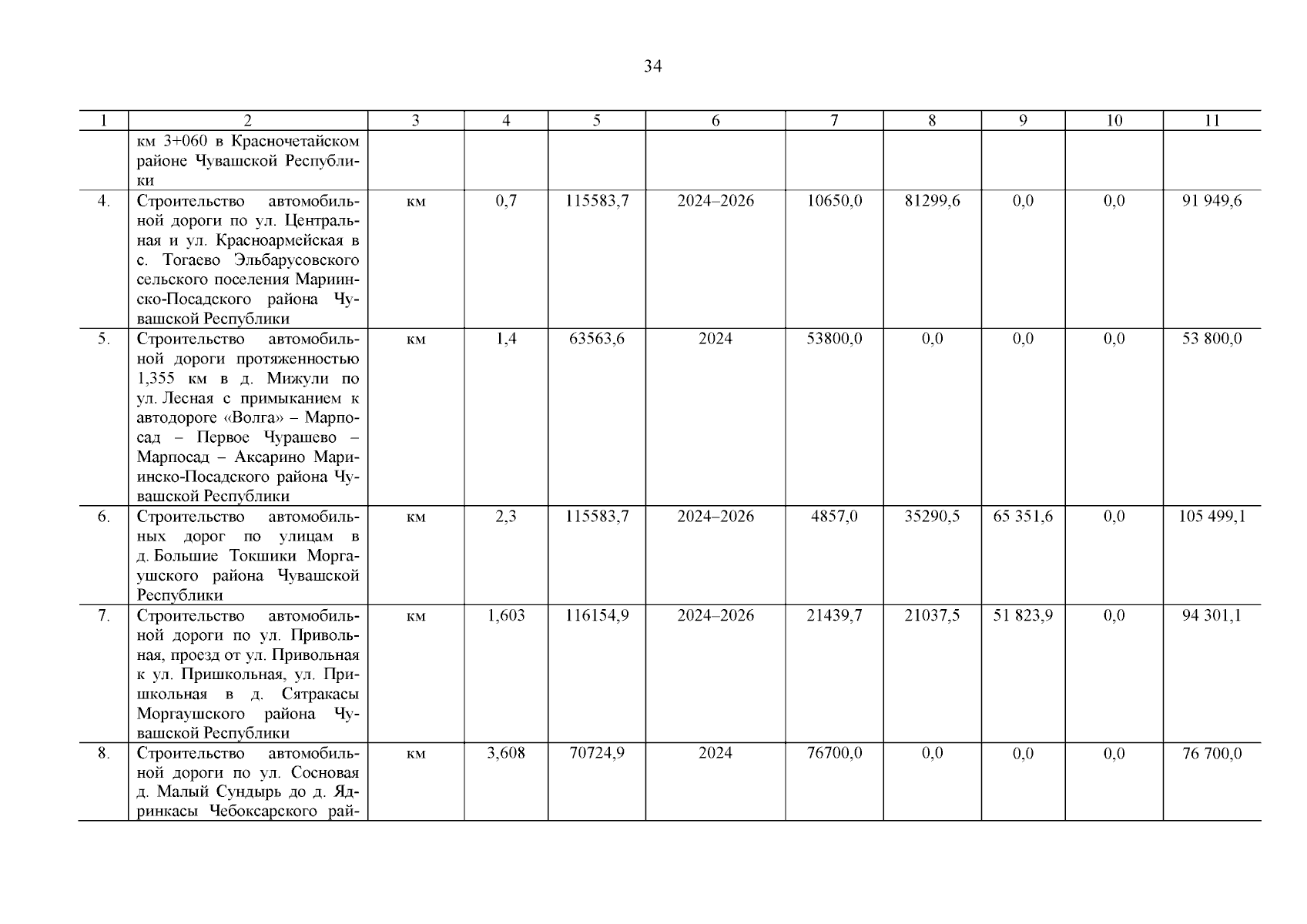
Постановление Кабинета Министров Чувашской Республики от 18.12.2025 № 731
"О внесении изменений в государственную программу Чувашской Республики "Комплексное развитие сельских территорий Чувашской Республики"
Номер опубликования: 2100202512180006
Дата опубликования: 18.12.2025
Страница №35 из 38:
Увеличить