Официальное опубликование правовых актов
ОФИЦИАЛЬНОЕ ОПУБЛИКОВАНИЕ
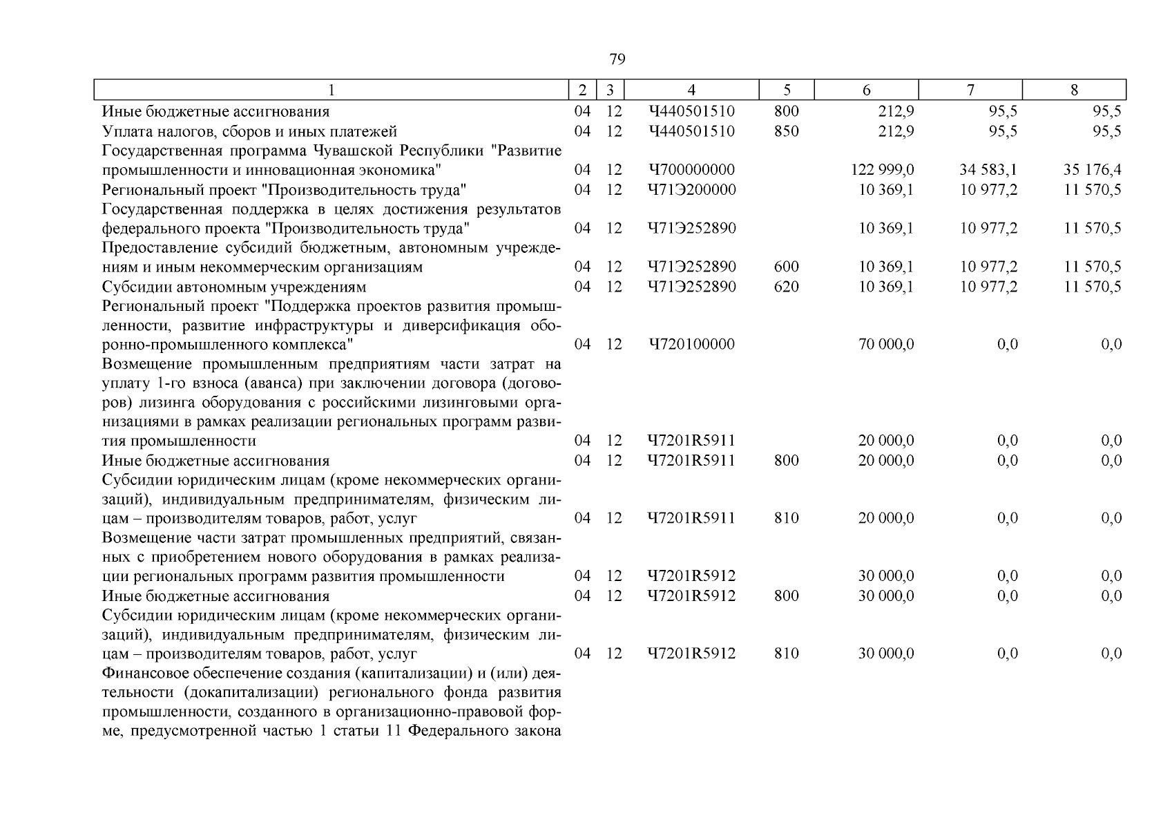
Закон Чувашской Республики от 28.11.2025 № 78
"О республиканском бюджете Чувашской Республики на 2026 год и на плановый период 2027 и 2028 годов"
Номер опубликования: 2100202512020004
Дата опубликования: 02.12.2025
Страница №121 из 875:
Увеличить