Официальное опубликование правовых актов
ОФИЦИАЛЬНОЕ ОПУБЛИКОВАНИЕ
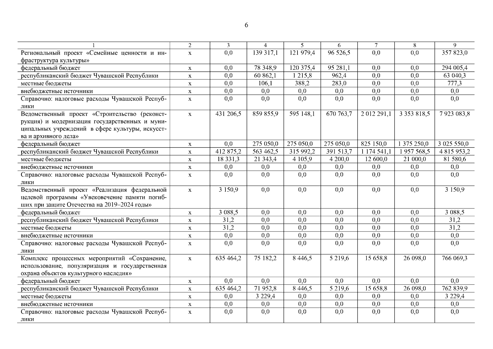
Постановление Кабинета Министров Чувашской Республики от 26.11.2025 № 672
"О внесении изменений в государственную программу Чувашской Республики "Развитие культуры"
Номер опубликования: 2100202511270012
Дата опубликования: 27.11.2025
Страница №7 из 49:
Увеличить