Официальное опубликование правовых актов
ОФИЦИАЛЬНОЕ ОПУБЛИКОВАНИЕ
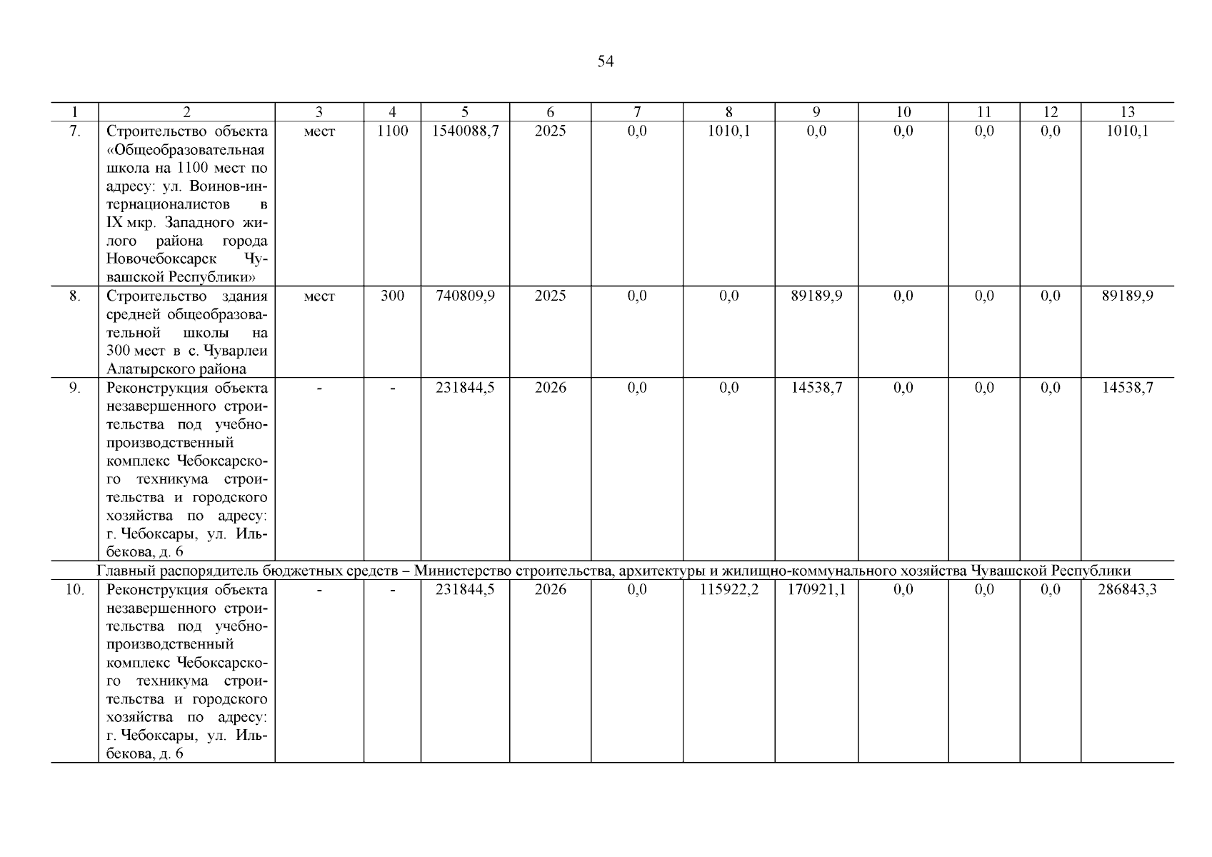
Постановление Кабинета Министров Чувашской Республики от 25.11.2025 № 667
"О внесении изменений в государственную программу Чувашской Республики "Развитие образования"
Номер опубликования: 2100202511270004
Дата опубликования: 27.11.2025
Страница №55 из 60:
Увеличить