Официальное опубликование правовых актов
ОФИЦИАЛЬНОЕ ОПУБЛИКОВАНИЕ
Постановление Кабинета Министров Чувашской Республики от 21.11.2025 № 663
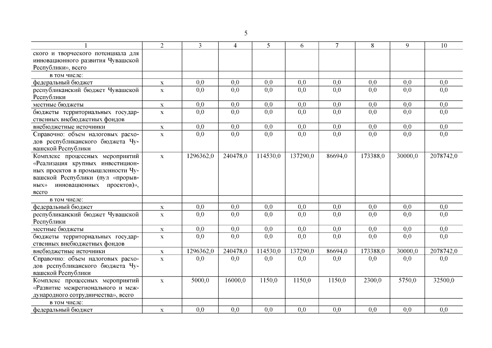
"О внесении изменений в государственную программу Чувашской Республики "Развитие промышленности и инновационная экономика"
Номер опубликования: 2100202511250008
Дата опубликования: 25.11.2025
Страница №6 из 27:
Увеличить