Официальное опубликование правовых актов
ОФИЦИАЛЬНОЕ ОПУБЛИКОВАНИЕ
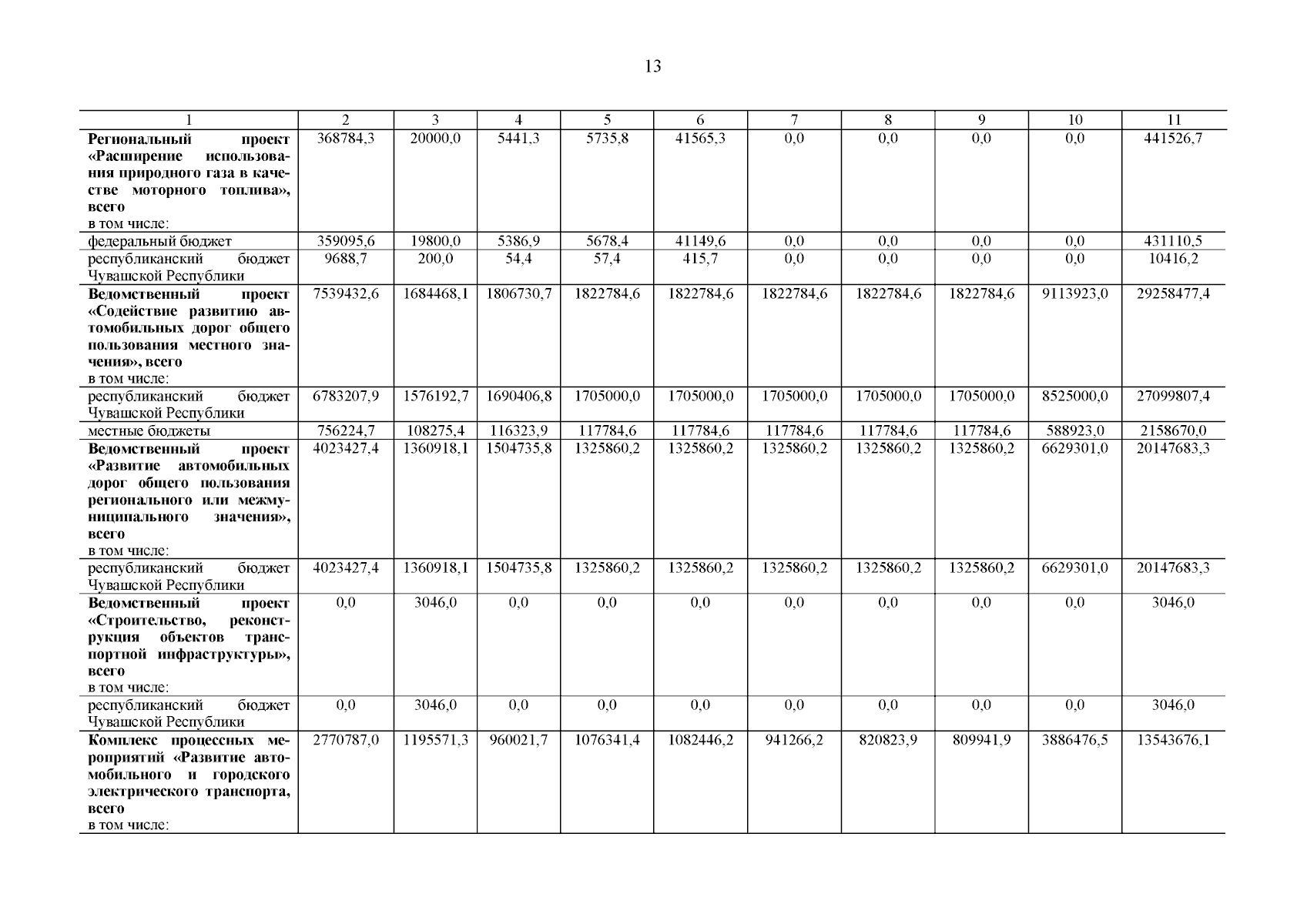
Постановление Кабинета Министров Чувашской Республики от 29.05.2025 № 315
"О внесении изменений в государственную программу Чувашской Республики "Развитие транспортной системы Чувашской Республики"
Номер опубликования: 2100202506020004
Дата опубликования: 02.06.2025
Страница №14 из 45:
Увеличить