Официальное опубликование правовых актов
ОФИЦИАЛЬНОЕ ОПУБЛИКОВАНИЕ
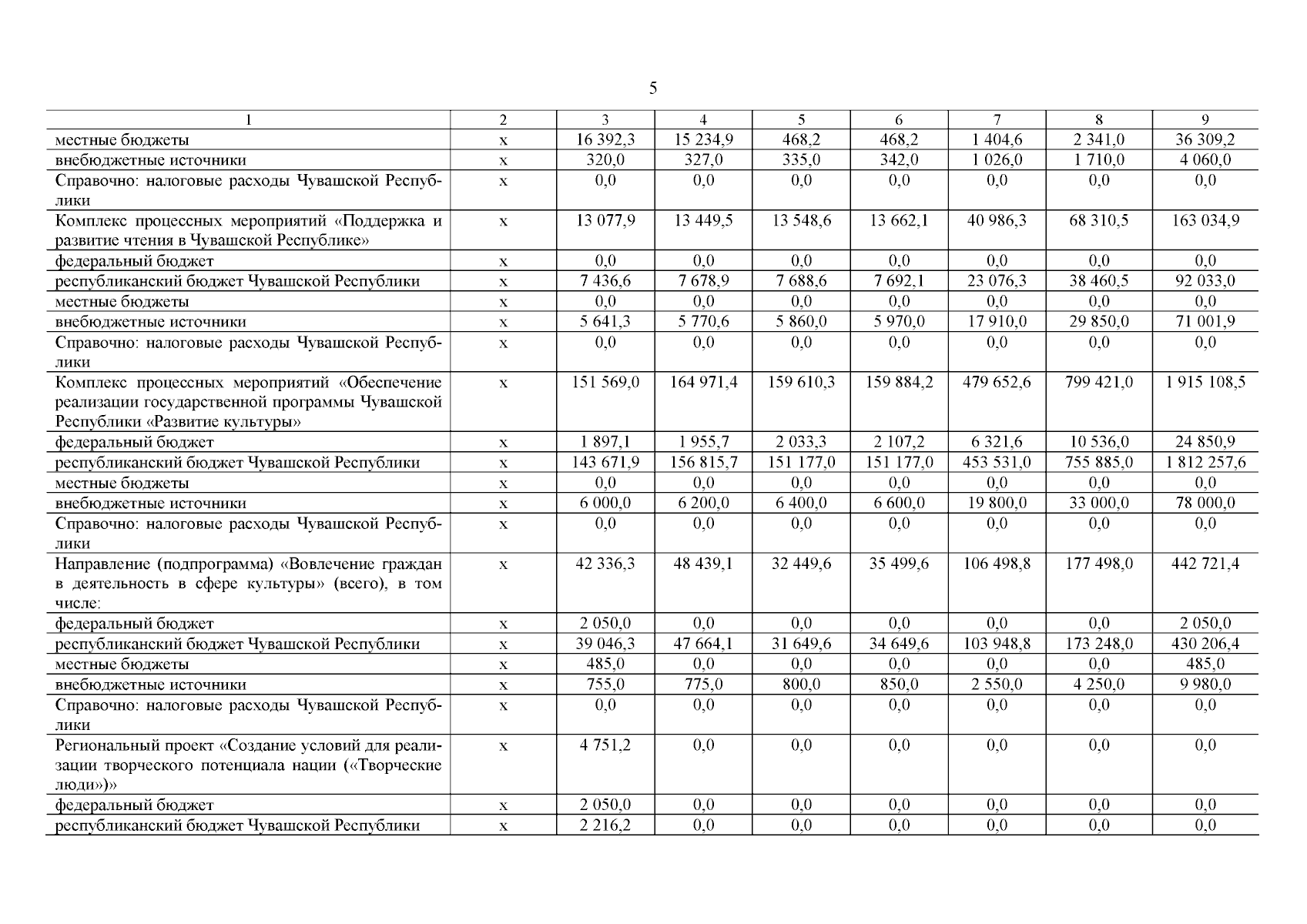
Постановление Кабинета Министров Чувашской Республики от 21.05.2025 № 289
"О внесении изменений в государственную программу Чувашской Республики "Развитие культуры"
Номер опубликования: 2100202505230001
Дата опубликования: 23.05.2025
Страница №6 из 75:
Увеличить