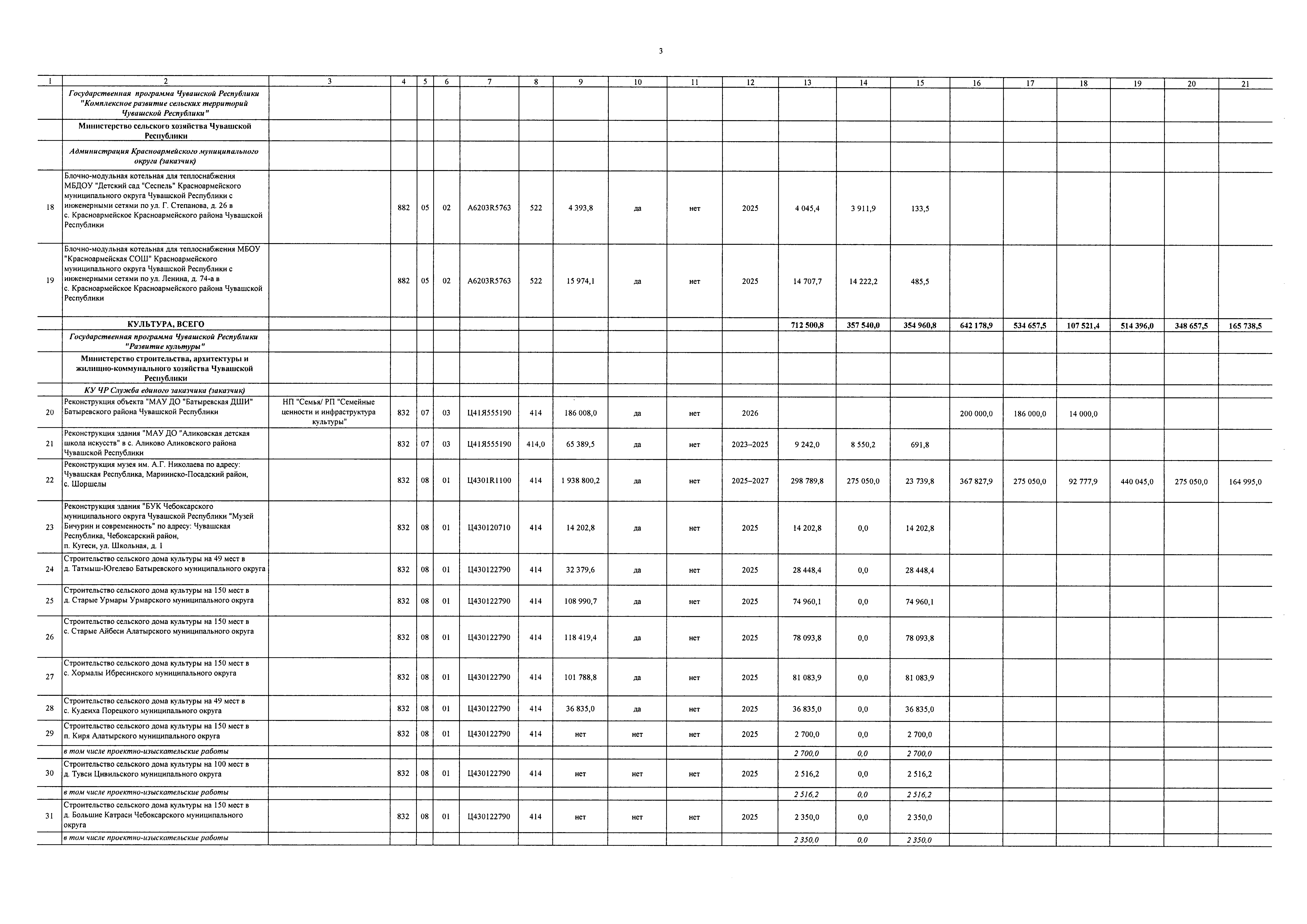
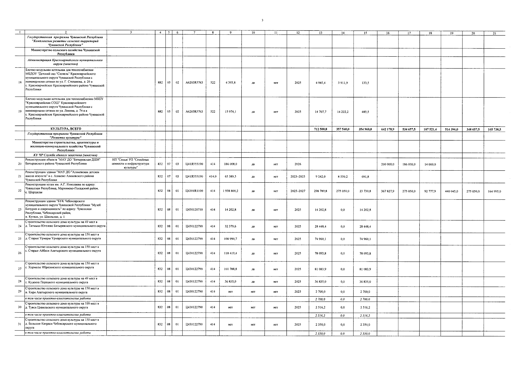
Официальное опубликование правовых актов
ОФИЦИАЛЬНОЕ ОПУБЛИКОВАНИЕ
Постановление Кабинета Министров Чувашской Республики от 21.05.2025 № 288
"О внесении изменения в Республиканскую адресную инвестиционную программу на 2025 год и на плановый период 2026 и 2027 годов"
Номер опубликования: 2100202505220001
Дата опубликования: 22.05.2025
Страница №4 из 22: