Официальное опубликование правовых актов
ОФИЦИАЛЬНОЕ ОПУБЛИКОВАНИЕ
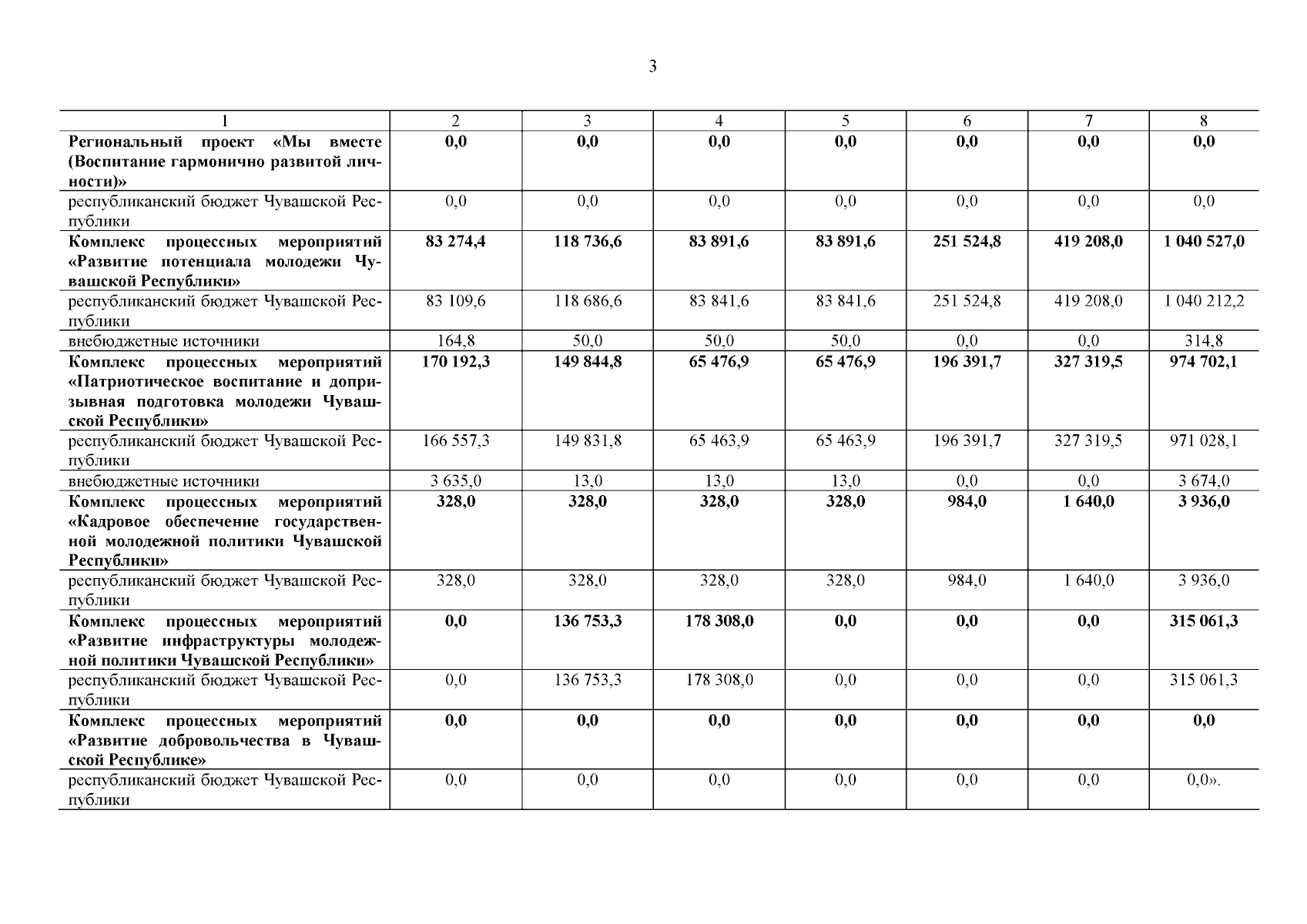
Постановление Кабинета Министров Чувашской Республики от 16.05.2025 № 281
"О внесении изменений в государственную программу Чувашской Республики "Молодежь Чувашской Республики"
Номер опубликования: 2100202505190002
Дата опубликования: 19.05.2025
Страница №4 из 10:
Увеличить